728x90
99클럽 | 비기너
🎄 104. Maximum Depth of Binary Tree
🏷 Topic : Tree Binary Tree DFS; Depth-First Search
Easy
Given the root of a binary tree, return its maximum depth.
A binary tree's maximum depth is the number of nodes along the longest path from the root node down to the farthest leaf node.
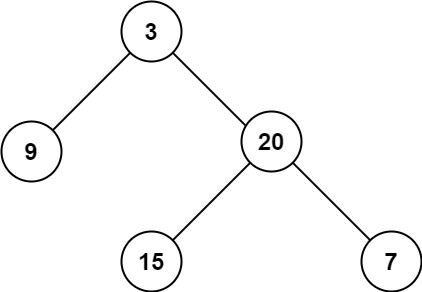
Example 1:

Input: root = [3,9,20,null,null,15,7]
Output: 3
Example 2:
Input: root = [1,null,2]
Output: 2
Constraints:
- The number of nodes in the tree is in the range
[0, 104]. -100 <= Node.val <= 100
Accepted 3.1M | Submissions 4.1M | Acceptance Rate 75.5%
✔ Solution with DFS
/**
* Definition for a binary tree node.
* public class TreeNode {
* int val;
* TreeNode left;
* TreeNode right;
* TreeNode() {}
* TreeNode(int val) { this.val = val; }
* TreeNode(int val, TreeNode left, TreeNode right) {
* this.val = val;
* this.left = left;
* this.right = right;
* }
* }
*/
class Solution {
public int maxDepth(TreeNode root) {
int depth = 0;
if (root != null) {
if (root.right != null) {
depth = maxDepth(root.right);
}
if (root.left != null) {
int depth2 = maxDepth(root.left);
if (depth2 > depth) {
depth = depth2;
}
}
return depth + 1;
}
return 0;
}
}
채점 결과

💥 오늘 만난 문제 & 나의 시도 💦 & 해결 방법 👍
- 이진 트리의 Depth :
루트 노드에서 가장 먼리프 노드까지
가장 긴 경로를 따라 있는 노드 수 - int
maxDepth(TreeNode root): 매개변수로 TreeNoderoot를 받아서
해당 노드에 대한 이진트리의 Depth를 반환하는 메서드
maxDepth()를 구현하여 이진트리의 최대 깊이를 반환하자.
1. 이진트리의 Depth를 할당할 int depth 변수 초기화
int depth = 0;
2. 매개변수로 받은 TreeNode root가 null이 아니면 DFS 실행
- root의 right노드 탐색
:root.right가 null이 아니면,depth에 right노드를 루트노드로 갖는 서브트리의 Depth를 할당 depth = maxDepth(root.right);root의 left노드 탐색
:root.left가 null이 아니면,
intdepth2를 left노드를 루트노드로 갖는 서브트리의 Depth로 초기화int depth2 = maxDepth(root.left);depth와depth2를 비교하여
depth2가 depth보다 크면depth에depth2를 할당if (depth2 > depth) { depth = depth2; }- DFS를 끝내고
depth에1추가하여 반환 return depth + 1;
3. root가 null이면 0을 반환
return 0;
4. 제약사항에서 이진 트리의 노드 수의 범위는 [0, 104]이므로
노드 수가 0개이면 Depth가 0
💬 무엇을 새롭게 알았는지
Depth of Binary Tree를 DFS로 구하는 방법을 알게되었다.
📚 References(참고 자료)
[Java 봐 | 자료 구조] 트리(Tree) 개념 정리
🆙 NEXT LEVEL
- 미들러: Reverse Odd Levels of Binary Tree
- 챌린저: 네트워크
728x90